De Binomiale verdeling

 

   terug

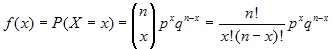
De binomiale verdeling wordt gebruikt in een situatie waarbij er in principe twee mogelijkheden zijn: succes of geen succes. De individuele kansen op deze mogelijkheden zijn de kans op succes (p) en de kans op geen succes (q = 1 – p). De binomiale verdeling geeft voor een steekproef ter grootte van n die met terugleggen wordt getrokken de kans deze x successen bevat. Deze kans wordt als volgt berekent:

 

 

Hieronder staan tabellen met binomiale kansen voor steeds 11 verschillende succeskansen bij n = 5, 10, 20 of 25 en daarbij alle mogelijke aantallen successen. Er zijn nog ontelbaar veel andere tabellen mogelijk, maar helaas is het onmogelijk om deze allemaal hier weer te geven. Voor het berekenen van kansen in situaties waarvoor hier geen tabel is verwijs ik naar tabellen in de statistische literatuur en computerprogramma’s (zoals klik hier). Of probeer zelf de formule in te vullen en uit te rekenen.

 

n = 5

 

x

succes kans p

0,05

0,10

0,20

0,30

0,40

0,50

0,60

0,70

0,80

0,90

0,95

0

0,774

0,590

0,328

0,168

0,078

0,031

0,010

0,002

0,000

0,000

0,000

1

0,204

0,328

0,410

0,360

0,259

0,156

0,077

0,028

0,006

0,000

0,000

2

0,021

0,073

0,205

0,309

0,346

0,313

0,230

0,132

0,051

0,008

0,001

3

0,001

0,008

0,051

0,132

0,230

0,313

0,346

0,309

0,205

0,073

0,021

4

0,000

0,000

0,006

0,028

0,077

0,156

0,259

0,360

0,410

0,328

0,204

5

0,000

0,000

0,000

0,002

0,010

0,031

0,078

0,168

0,328

0,590

0,774

 

 

 

n = 10

 

x

succes kans p

0,05

0,10

0,20

0,30

0,40

0,50

0,60

0,70

0,80

0,90

0,95

0

0,599

0,349

0,107

0,028

0,006

0,001

0,000

0,000

0,000

0,000

0,000

1

0,315

0,387

0,268

0,121

0,040

0,010

0,002

0,000

0,000

0,000

0,000

2

0,075

0,194

0,302

0,233

0,121

0,044

0,011

0,001

0,000

0,000

0,000

3

0,010

0,057

0,201

0,267

0,215

0,117

0,042

0,009

0,001

0,000

0,000

4

0,001

0,011

0,088

0,200

0,251

0,205

0,111

0,037

0,006

0,000

0,000

5

0,000

0,001

0,026

0,103

0,201

0,246

0,201

0,103

0,026

0,001

0,000

6

0,000

0,000

0,006

0,037

0,111

0,205

0,251

0,200

0,088

0,011

0,001

7

0,000

0,000

0,001

0,009

0,042

0,117

0,215

0,267

0,201

0,057

0,010

8

0,000

0,000

0,000

0,001

0,011

0,044

0,121

0,233

0,302

0,194

0,075

9

0,000

0,000

0,000

0,000

0,002

0,010

0,040

0,121

0,268

0,387

0,315

10

0,000

0,000

0,000

0,000

0,000

0,001

0,006

0,028

0,107

0,349

0,599

 

 

 

n = 20

 

x

succes kans p

0,05

0,10

0,20

0,30

0,40

0,50

0,60

0,70

0,80

0,90

0,95

0

0,358

0,122

0,012

0,001

0,000

0,000

0,000

0,000

0,000

0,000

0,000

 

1

0,377

0,270

0,058

0,007

0,000

0,000

0,000

0,000

0,000

0,000

0,000

2

0,189

0,285

0,137

0,028

0,003

0,000

0,000

0,000

0,000

0,000

0,000

3

0,060

0,19

0,205

0,072

0,012

0,001

0,000

0,000

0,000

0,000

0,000

4

0,013

0,090

0,218

0,130

0,035

0,005

0,000

0,000

0,000

0,000

0,000

5

0,002

0,032

0,175

0,179

0,075

0,015

0,001

0,000

0,000

0,000

0,000

6

0,000

0,009

0,109

0,192

0,124

0,037

0,005

0,000

0,000

0,000

0,000

7

0,000

0,002

0,055

0,164

0,166

0,074

0,015

0,001

0,000

0,000

0,000

8

0,000

0,000

0,022

0,114

0,180

0,120

0,035

0,004

0,000

0,000

0,000

9

0,000

0,000

0,007

0,065

0,160

0,160

0,071

0,012

0,000

0,000

0,000

10

0,000

0,000

0,002

0,031

0,117

0,176

0,117

0,031

0,002

0,000

0,000

 

11

0,000

0,000

0,000

0,012

0,071

0,160

0,160

0,065

0,007

0,000

0,000

12

0,000

0,000

0,000

0,004

0,035

0,120

0,180

0,114

0,022

0,000

0,000

13

0,000

0,000

0,000

0,001

0,015

0,074

0,166

0,164

0,055

0,002

0,000

14

0,000

0,000

0,000

0,000

0,005

0,037

0,124

0,192

0,109

0,009

0,000

15

0,000

0,000

0,000

0,000

0,001

0,015

0,075

0,179

0,175

0,032

0,002

16

0,000

0,000

0,000

0,000

0,000

0,005

0,035

0,130

0,218

0,090

0,013

17

0,000

0,000

0,000

0,000

0,000

0,001

0,012

0,072

0,205

0,190

0,060

18

0,000

0,000

0,000

0,000

0,000

0,000

0,003

0,028

0,137

0,285

0,189

19

0,000

0,000

0,000

0,000

0,000

0,000

0,000

0,007

0,058

0,270

0,377

20

0,000

0,000

0,000

0,000

0,000

0,000

0,000

0,001

0,012

0,122

0,358

 

 

 

n = 25

 

x

succes kans p

0,05

0,10

0,20

0,30

0,40

0,50

0,60

0,70

0,80

0,90

0,95

0

0,277

0,072

0,004

0,000

0,000

0,000

0,000

0,000

0,000

0,000

0,000

 

1

0,365

0,199

0,024

0,001

0,000

0,000

0,000

0,000

0,000

0,000

0,000

2

0,231

0,266

0,071

0,007

0,000

0,000

0,000

0,000

0,000

0,000

0,000

3

0,093

0,226

0,136

0,024

0,002

0,000

0,000

0,000

0,000

0,000

0,000

4

0,027

0,138

0,187

0,057

0,007

0,000

0,000

0,000

0,000

0,000

0,000

5

0,006

0,065

0,196

0,103

0,020

0,002

0,000

0,000

0,000

0,000

0,000

6

0,001

0,024

0,163

0,147

0,044

0,005

0,000

0,000

0,000

0,000

0,000

7

0,000

0,007

0,111

0,171

0,080

0,014

0,001

0,000

0,000

0,000

0,000

8

0,000

0,002

0,062

0,165

0,120

0,032

0,003

0,000

0,000

0,000

0,000

9

0,000

0,000

0,029

0,134

0,151

0,061

0,009

0,000

0,000

0,000

0,000

10

0,000

0,000

0,012

0,092

0,161

0,097

0,021

0,001

0,000

0,000

0,000

 

11

0,000

0,000

0,004

0,054

0,147

0,133

0,043

0,004

0,000

0,000

0,000

12

0,000

0,000

0,001

0,027

0,114

0,155

0,076

0,011

0,000

0,000

0,000

13

0,000

0,000

0,000

0,011

0,076

0,155

0,114

0,027

0,001

0,000

0,000

14

0,000

0,000

0,000

0,004

0,043

0,133

0,147

0,054

0,004

0,000

0,000

15

0,000

0,000

0,000

0,001

0,021

0,097

0,161

0,092

0,012

0,000

0,000

16

0,000

0,000

0,000

0,000

0,009

0,061

0,151

0,134

0,029

0,000

0,000

17

0,000

0,000

0,000

0,000

0,003

0,032

0,120

0,165

0,062

0,002

0,000

18

0,000

0,000

0,000

0,000

0,001

0,014

0,080

0,171

0,111

0,007

0,000

19

0,000

0,000

0,000

0,000

0,000

0,005

0,044

0,147

0,163

0,024

0,001

20

0,000

0,000

0,000

0,000

0,000

0,002

0,020

0,103

0,196

0,065

0,006

 

21

0,000

0,000

0,000

0,000

0,000

0,000

0,007

0,057

0,187

0,138

0,027

22

0,000

0,000

0,000

0,000

0,000

0,000

0,002

0,024

0,136

0,226

0,093

23

0,000

0,000

0,000

0,000

0,000

0,000

0,000

0,007

0,071

0,266

0,231

24

0,000

0,000

0,000

0,000

0,000

0,000

0,000

0,001

0,024

0,199

0,365

25

0,000

0,000

0,000

0,000

0,000

0,000

0,000

0,000

0,004

0,072

0,277

 

 

Voorbeelden

1)     Bij een succeskans van 0,3 is de kans op 6 successen uit 10: P(X = 6) = 0,37, Zie de tweede tabel, dat is de tabel voor n = 10.

2)     Bij een succeskans van 0,7 is de kans op minstens 18 successen uit 20: P(X ≥ 18) = P(X = 18) + P(X = 19) +    P(X = 20) = 0,028 + 0,007 + 0,001 = 0,036, Zie de derde tabel, dat is de tabel voor n = 20.

3)     Voor welke succeskans is de kans 0,099 dat er tenminste 23 van de 25 een succes zijn? Zie de laatste tabel :      P(X ≥ 23) = P(X = 23) + P(X = 24) + P(X = 25) = 0,071 + 0,024 + 0,004 = 0,099 voor p = 0,80.